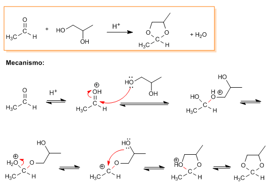
Von German Fernandez, 27. Februar 2024 Problema 1. Escribir el mecanismo para la formación el acetal entre etanal y 1,2-propanodiol.SOLUCIÓN: Links für das Blättern im Buch Solución Problema 1 (Aldehídos y cetonas) Problemas Resueltos de Aldehídos y cetonas (parte 1) Nach oben Solución Problema 2 (Aldehídos y cetonas)