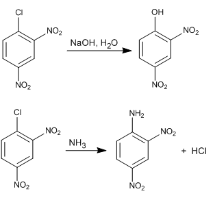
Sustitución nucleófila aromática por adición eliminación (ipso)
La reacción del 1-cloro-2,4-dinitrobenceno con nucleófilos (hidróxido, amoniaco, metóxido, etc), produce la sustitución del cloro por el nucleófilo correspondiente. Se denomina ipso (mismo lugar), para indicar que el nucleófilo ocupa la misma posición que tenía el cloro de partida.
Para que esta reacción tenga lugar requiere de grupos desactivantes en posiciones orto o para con respecto al halógeno (grupos -NO2, SO3H). La misión de estos sustituyentes es la estabilización del intermedio aniónico que se forma y la de retirar carga del anillo para posibilitar el ataque del nucleófilo.
Mecanismo: