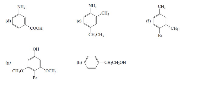
Von German Fernandez, 27. Februar 2024 Indicar el nombre IUPAC de los siguientes derivados del benceno:SOLUCIÓN: Links für das Blättern im Buch Benceno | Problema 1 Problemas resueltos Benceno Nach oben Benceno | Problema 2