Skip to main content
QUÍMICA ORGÁNICA

Breadcrumb

  1. Home
  2. BENZENE
  3. Problemas resueltos Benceno

Benceno | Problema 1

By German Fernandez, 27 February, 2024

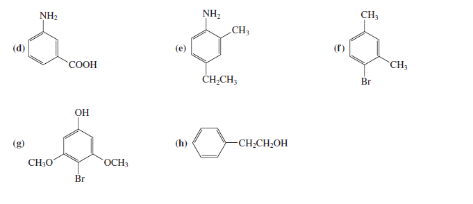
Indicar el nombre IUPAC de los siguientes derivados del benceno:

SOLUCIÓN:

Book traversal links for Benceno | Problema 1

  • Problemas resueltos Benceno
  • Up
  • Benceno | Problema 2

Navegación principal

  • Home
  • ORGANIC NOMENCLATURE
  • ALKANES
  • HALOGENATION REACTIONS
  • CICLOALCANOS
  • STEREOCHEMISTRY
  • SUSTITUCIÓN-ELIMINACIÓN
  • ALKENES
  • REACCIONES ALQUENOS
  • ALQUINOS
  • S. ALÍLICOS
  • DIELS-ALDER
  • ALCOHOLES
  • ÈTERES
  • ALDEHÍDOS Y CETONAS
  • ENOLES - ENOLATOS
  • BENZENE
  • ÁCIDOS CARBOXÍLICOS
  • HALUROS DE ALCANOILO
  • ANHÍDRIDOS
  • ÉSTERES
  • AMIDAS
  • NITRILOS
  • AMINAS
  • COMPUESTOS DIFUNCIONALES
  • HIDRATOS DE CARBONO
  • ORGÁNICA AVANZADA
  • HETEROCICLOS
  • REACCIONES ORGÁNICAS
  • DETERMINACIÓN ESTRUCTURAL
  • COMPUESTOS
  • BIOGRAFÍAS
  • LABORATORIO
  • MODELOS
  • LIBROS
  • PÓSTERS
  • UNIVERSIDADES
  • BITÁCORA JORDI