¿Te cuesta entender la Química Orgánica?
Cursos de Química Orgánica para los Grados en Química, Ingeniería Química, Biotecnología y Farmacia de las Universidades españolas.
Material específico para cada Universidad con teoría, ejercicios y exámenes resueltos en vídeo, creado por Germán Fernández. Soporte para dudas por WhatsApp.
Más información en www.foroquimico.com
Reacción de aldehídos y cetonas con HCN
Existen multitud de nucleófilos capaces de atacar al carbono carbonilo, (agua, alcoholes aminas). También el cianuro de hidrógeno se adiciona a aldehídos y cetonas formando las cianhidrinas.

Mecanismo de la formación de cianhidrinas
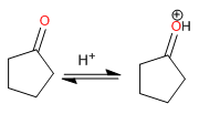
El mecanismo de formación de cianhidrinas comienza con la protonación del carbonilo y posterior ataque del cianuro.
Etapa 1. Protonación del carbonilo

Etapa 2. Ataque nucleófilo del cianuro

YouTube | Miembros del canal Hazte miembro del canal para acceder a todos los vídeos Vídeos para miembros