Reacción entre haloalcanos y alcoholes
El mecanismo SN1 también nos permite preparar éteres por reacción de haloalcanos secundarios o terciarios con alcoholes. Los haloalcanos primarios no forman carbocationes estables y este método no es viable debiendo emplearse la síntesis de Williamson.

Mecanismo de la reacción
Los haloalcanos secundarios y terciarios se ionizan para formar un carbocatión que es atacado en una etapa posterior por el alcohol, dando lugar al éter.
Etapa 1. Pérdida del grupo saliente

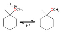
Etapa 2. Ataque nucleófilo del metanol

Etapa 3. Desprotonación
