¿Te cuesta entender la Química Orgánica?
Cursos de Química Orgánica para los Grados en Química, Ingeniería Química, Biotecnología y Farmacia de las Universidades españolas.
Material específico para cada Universidad con teoría, ejercicios y exámenes resueltos en vídeo, creado por Germán Fernández. Soporte para dudas por WhatsApp.
Más información en www.foroquimico.com
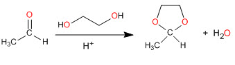
Formación de acetales cíclicos
Tanto el 1,2-etanodiol como otros dioles reaccionan en presencia de agua con aldehídos y cetonas generando acetales cíclicos, esta reacción se cataliza en presencia de ácido.

Mecanismo de la síntesis de acetales cíclicos
La reacción transcurre con formación de un hemiacetal que cicla intramolecularmente para dar el acetal cíclico.
Etapa 1. Protonación del carbonilo

Etapa 2. Ataque nucleófilo del 1,2-etanodiol

Etapa 3. Equilibrio ácido-base

Etapa 4. Pérdida de agua con formación de un carbocatión estabilizado por resonancia

Etapa 5. Ciclación intramolecular por ataque del grupo hidroxilo al carbocatión

Etapa 6. Desprotonación

Hidrólisis del acetal cíclico
Los acetales cíclicos se hidrolizan fácilmente en presencia de agua pero son muy inertes en medios básicos, lo cual los convierte en muy buenos grupos protectores de aldehídos y cetonas.

YouTube | Miembros del canal Hazte miembro del canal para acceder a todos los vídeos Vídeos para miembros