¿Te cuesta entender la Química Orgánica?
Cursos de Química Orgánica para los Grados en Química, Ingeniería Química, Biotecnología y Farmacia de las Universidades españolas.
Material específico para cada Universidad con teoría, ejercicios y exámenes resueltos en vídeo, creado por Germán Fernández. Soporte para dudas por WhatsApp.
Más información en www.foroquimico.com
Las cetonas se oxidan con perácidos
Los ácidos peroxicarboxílicos también se adicionan sobre el grupo carbonilo de aldehídos y cetonas, produciendo ésteres mediante una transposición.

Baeyer Villiger con cetonas cíclicas
Las cetonas cíclicas generan ésteres cíclicos. Las cetonas asimétricas conducen a dos ésteres distintos ya que los sustituyentes no tienen la misma aptitud migratoria.

Mecanismo de Baeyer Villiger
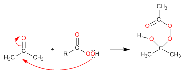
El mecanismo de esta reacción consiste en el ataque del oxígeno (rojo) del peroxiácido al carbono carbonilo de aldehídos o cetonas. El aducto formado es inestable y se descompone, produciéndose la migración de un grupo alquilo del carbono carbonilo al oxígeno, para dar un éster.
Etapa 1. Ataque nucleófilo del perácido

Etapa 2. Migración




YouTube | Miembros del canal Hazte miembro del canal para acceder a todos los vídeos Vídeos para miembros